SENSOR
Sistem Kontrol Penjernihan Air Minum Sapi
1. Tujuan [Kembali]
- Menyelesaikan tugas Sensor
- Mempelajari Sensor yang ada pada water quality sensor
2. Alat dan Bahan [Kembali]
1. pH Sensor: Alat ini digunakan untuk mengukur tingkat keasaman atau kebasaan suatu larutan. Sensor pH memberikan sinyal listrik yang berkaitan dengan konsentrasi ion hidrogen (H+) dalam larutan, memungkinkan pengguna untuk menentukan pH suatu solusi dengan akurat.
Rentang Pengukuran: 0 hingga 14 pH.
Resolusi: 0.01 pH (standar).Akurasi: ±0.1 pH atau lebih baik (tergantung model).Tegangan Operasi: Biasanya 3.3V atau 5V untuk modul sensor berbasis mikrokontroler.Output Sensor: Analog (tegangan proporsional dengan pH). Digital (RS485, Modbus, atau I2C untuk sensor industri).Suhu Operasional: Biasanya 0°C hingga 60°C (untuk sensor standar). Sensor industri dapat bekerja hingga 100°C dengan kompensasi suhu.Material Elektroda: Kaca khusus tahan terhadap larutan korosif. Bodi pelindung berbahan plastik atau stainless steel untuk aplikasi berat
Prinsip Kerja pH meter:
Prinsip kerja utama pH meter adalah terletak pada sensor probe berupa elektrode kaca (glass electrode) dengan jalan mengukur jumlah ion H3O+ di dalam larutan. Ujung elektrode kaca adalah lapisan kaca setebal 0,1 mm yang berbentuk bulat (bulb). Bulb ini dipasangkan dengan silinder kaca non-konduktor atau plastik memanjang, yang selanjutnya diisi dengan larutan HCl (0,1 mol/dm3). Di dalam larutan HCl, terendam sebuah kawat elektrode panjang berbahan perak yang pada permukaannya terbentuk senyawa setimbang AgCl. Konstannya jumlah larutan HCl pada sistem ini membuat elektrode Ag/AgCl memiliki nilai potensial stabil.
Inti sensor pH terdapat pada permukaan bulb kaca yang memiliki kemampuan untuk bertukar ion positif (H+) dengan larutan terukur. Kaca tersusun atas molekul silikon dioksida dengan sejumlah ikatan logam alkali. Pada saat bulb kaca ini terekspos air, ikatan SiO akan terprotonasi membentuk membran tipis HSiO+ sesuai dengan reaksi berikut:
Seperti pada ilustrasi di atas bahwa pada permukaan bulb terbentuk semacam lapisan “gel” sebagai tempat pertukaran ion H+. Jika larutan bersifat asam, maka ion H+ akan terikat ke permukaan bulb. Hal ini menimbulkan muatan positif terakumulasi pada lapisan “gel“. Sedangkan jika larutan bersifat basa, maka ion H+ dari dinding bulb terlepas untuk bereaksi dengan larutan tadi. Hal ini menghasilkan muatan negatif pada dinding bulb.
Pertukaran ion hidronium (H+) yang terjadi antara permukaan bulb kaca dengan larutan sekitarnya inilah yang menjadi kunci pengukuran jumlah ion H3O+ di dalam larutan. Kesetimbangan pertukaran ion yang terjadi di antara dua fase dinding kaca bulb dengan larutan, menghasilkan beda potensial di antara keduanya.
dimana R adalah konstanta molar gas (8,314 J/mol K), T untuk temperatur (Kelvin), F adalah konstanta Faraday 96.485,3 C/mol, 2,303 adalah angka konversi antara logaritma alami dengan umum, dan a(H3O+) adalah aktivitas dari hidronium (bernilai rendah jika konsentrasinya rendah). Pada temperatur 25°C nilai dari RT/2,303F mendekati angka 59,16 mV. Angka 59,16 mV ini menjadi bilangan penting karena pada suhu konstan larutan 25°C, setiap perubahan 1 satuan pH, terjadi perubahan beda potensial elektrode kaca sebesar 59,16 mV.Perhitungan nilai aktivitas hidronium (a(H3O+)) pada persamaan di atas memiliki rentang yang sangat lebar yakni antara 10 hingga 10-15 mol/dm3. Sehingga untuk meringkas persamaan, maka lahirlah istilah pH dengan persamaan sebagai berikut:
Pada sebuah sistem pH meter secara keseluruhan, selain terdapat elektrode kaca juga terdapat elektrode referensi. Kedua elektrode tersebut sama-sama terendam ke dalam media ukur yang sama. Elektrode referensi digunakan untuk menciptakan rangkaian listrik pH meter. Untuk menghasilkan pembacaan pH yang valid, elektrode referensi harus memiliki nilai potensial stabil dan tidak terpengaruh oleh jenis fluida yang diukur.
Seperti halnya elektrode kaca, di dalam elektrode referensi juga digunakan larutan HCl (elektrolit) yang merendam elektrode kecil Ag/AgCl. Pada ujung elektrode referensi terdapat liquid junction berupa bahan keramik sebagai tempat pertukaran ion antara elektrolit dengan larutan terukur, pertukaran ion ini dibutuhkan untuk menciptakan aliran listrik sehingga pengukuran potensiometer (pH meter) dapat dilakukan.
Sensor temperatur juga menjadi satu komponen wajib pH meter, karena nilai pH sangat dipengaruhi oleh temperatur larutan. Pada pH larutan 7 (netral), perubahan temperatur tidak berpengaruh terhadap nilai tersebut. Namun jika larutan bersifat asam atau basa, pembentukan ion sangat dipengaruhi oleh temperatur. Dan karena pembacaan pH distandardisasi pada temperatur ruang 25°C, maka keberadaan sensor temperatur sangat krusial untuk mendapatkan pembacaan pH meter yang akurat.
Tiga sensor pH meter yang terendam di dalam larutan yakni elektrode kaca, elektrode referensi, dan sensor temperatur, dapat digabungkan menjadi satu komponen probe saja sehingga didapatkan bentuk sensor pH meter yang lebih praktis.
Setiap pH meter selalu membutuhkan penguat voltase atau dikenal dengan amplifier. Voltase yang dihasilkan oleh dua elektrode pH meter terlalu rendah yakni hanya sekitar 60 mV untuk setiap tingkatan nilai pH. Jika pada pH netral (=7) beda potensial antar elektrode kaca dengan referensi sama dengan nol, maka besar voltase yang dihasilkan oleh keduanya pada nilai pH terendah hingga tertinggi (0≤pH≤14) adalah di antara angka -350 mV hingga +350 mV. Agar voltase ini dapat diproses di mikrokontroler, maka harus diperkuat oleh amplifier. Sebagai contoh pada salah satu tipe amplifier pH meter, amplifier ini akan memperkuat voltase menjadi pada rentangan 0 hingga 14 V. Sehingga jika potensiometer membaca nilai 4,5 V, maka pH larutan yang diukur adalah 4,5.
Prinsip kerja pH meter didasarkan pada pengukuran perbedaan potensial listrik antara elektroda kaca dan elektroda referensi yang terendam dalam larutan. Elektroda kaca bertindak sebagai sensor utama yang mendeteksi konsentrasi ion hidrogen, menghasilkan sinyal tegangan yang sebanding dengan tingkat keasaman (pH) larutan. Elektroda referensi memberikan potensi listrik yang konstan sebagai acuan untuk perbandingan. Sinyal dari elektroda kaca kemudian diperkuat oleh amplifier karena tegangan yang dihasilkan biasanya sangat kecil. Selain itu, pH meter dilengkapi dengan sensor suhu untuk mengukur suhu larutan, sehingga kompensasi suhu otomatis dapat dilakukan demi memastikan pengukuran tetap akurat. Sinyal yang diperkuat selanjutnya diproses oleh mikroprosesor, yang menghitung dan menampilkan nilai pH secara digital pada layar. Dengan prinsip ini, pH meter dapat memberikan hasil yang presisi dalam pengukuran keasaman atau alkalinitas larutan
Rentang Pengukuran: 0 hingga 14 pH.
Prinsip kerja utama pH meter adalah terletak pada sensor probe berupa elektrode kaca (glass electrode) dengan jalan mengukur jumlah ion H3O+ di dalam larutan. Ujung elektrode kaca adalah lapisan kaca setebal 0,1 mm yang berbentuk bulat (bulb). Bulb ini dipasangkan dengan silinder kaca non-konduktor atau plastik memanjang, yang selanjutnya diisi dengan larutan HCl (0,1 mol/dm3). Di dalam larutan HCl, terendam sebuah kawat elektrode panjang berbahan perak yang pada permukaannya terbentuk senyawa setimbang AgCl. Konstannya jumlah larutan HCl pada sistem ini membuat elektrode Ag/AgCl memiliki nilai potensial stabil.
Seperti pada ilustrasi di atas bahwa pada permukaan bulb terbentuk semacam lapisan “gel” sebagai tempat pertukaran ion H+. Jika larutan bersifat asam, maka ion H+ akan terikat ke permukaan bulb. Hal ini menimbulkan muatan positif terakumulasi pada lapisan “gel“. Sedangkan jika larutan bersifat basa, maka ion H+ dari dinding bulb terlepas untuk bereaksi dengan larutan tadi. Hal ini menghasilkan muatan negatif pada dinding bulb.
Pertukaran ion hidronium (H+) yang terjadi antara permukaan bulb kaca dengan larutan sekitarnya inilah yang menjadi kunci pengukuran jumlah ion H3O+ di dalam larutan. Kesetimbangan pertukaran ion yang terjadi di antara dua fase dinding kaca bulb dengan larutan, menghasilkan beda potensial di antara keduanya.
Pada sebuah sistem pH meter secara keseluruhan, selain terdapat elektrode kaca juga terdapat elektrode referensi. Kedua elektrode tersebut sama-sama terendam ke dalam media ukur yang sama. Elektrode referensi digunakan untuk menciptakan rangkaian listrik pH meter. Untuk menghasilkan pembacaan pH yang valid, elektrode referensi harus memiliki nilai potensial stabil dan tidak terpengaruh oleh jenis fluida yang diukur.
Seperti halnya elektrode kaca, di dalam elektrode referensi juga digunakan larutan HCl (elektrolit) yang merendam elektrode kecil Ag/AgCl. Pada ujung elektrode referensi terdapat liquid junction berupa bahan keramik sebagai tempat pertukaran ion antara elektrolit dengan larutan terukur, pertukaran ion ini dibutuhkan untuk menciptakan aliran listrik sehingga pengukuran potensiometer (pH meter) dapat dilakukan.
Tiga sensor pH meter yang terendam di dalam larutan yakni elektrode kaca, elektrode referensi, dan sensor temperatur, dapat digabungkan menjadi satu komponen probe saja sehingga didapatkan bentuk sensor pH meter yang lebih praktis.
2.
Turbidity
Sensor: Sensor ini digunakan untuk
mengukur tingkat kekeruhan dalam air. Kekeruhan dapat disebabkan oleh
partikel-partikel padat yang tersuspensi dalam air. Sensor ini biasanya bekerja
dengan memancarkan cahaya dan mengukur jumlah cahaya yang terhambur oleh partikel
dalam air.
3.
Water Flow Sensor: adalah perangkat yang digunakan untuk mendeteksi dan mengukur ketinggian atau level air dalam sebuah tangki, wadah, atau lingkungan tertentu. Sensor ini sering digunakan dalam berbagai aplikasi seperti sistem pemantauan air, kontrol otomatisasi, atau pengelolaan sumber daya air.

Prinsip kerja sensor aliran air (water flow sensor) pada gambar adalah sebagai berikut:
Masuknya Air (Water In): Air mengalir masuk ke dalam sensor melalui saluran masuk. Aliran air ini akan mengenai roda turbin di dalam sensor.
Putaran Turbin (Turbine Wheel): Aliran air menyebabkan turbin berputar. Turbin ini dilengkapi dengan magnet kecil yang terpasang di salah satu bilahnya.
Magnet dan Sensor Efek Hall (Magnet and Hall Effect Sensor): Setiap kali turbin berputar, magnet yang terpasang akan melewati Hall Effect Sensor. Sensor ini mendeteksi perubahan medan magnet yang dihasilkan oleh pergerakan magnet.
Sensor Efek Hall pada dasarnya terdiri dari potongan tipis bahan semikonduktor tipe-p persegi panjang seperti galium arsenida (GaAs), indium antimonida (InSb) atau indium arsenida (InAs) yang mengalirkan arus kontinu melalui dirinya sendiri.
Bila perangkat ditempatkan dalam medan magnet, garis fluks magnet memberikan gaya pada bahan semikonduktor yang membelokkan pembawa muatan, elektron dan lubang, ke kedua sisi pelat semikonduktor. Pergerakan pembawa muatan ini merupakan hasil gaya magnet yang dialaminya saat melewati bahan semikonduktor.
Saat elektron dan lubang ini bergerak ke samping, perbedaan potensial dihasilkan antara kedua sisi bahan semikonduktor oleh penumpukan pembawa muatan ini. Kemudian pergerakan elektron melalui bahan semikonduktor dipengaruhi oleh keberadaan medan magnet eksternal yang tegak lurus dengannya dan efek ini lebih besar pada bahan berbentuk persegi panjang datar.
Efek Hall memberikan informasi mengenai jenis kutub magnet dan besarnya medan magnet. Misalnya, kutub selatan akan menyebabkan perangkat menghasilkan tegangan keluaran sementara kutub utara tidak akan berpengaruh. Secara umum, sensor dan sakelar Efek Hall dirancang untuk berada dalam kondisi "OFF" (sirkuit terbuka) saat tidak ada medan magnet. Sakelar dan sensor hanya akan menyala "ON" (sirkuit tertutup) saat terkena medan magnet dengan kekuatan dan polaritas yang cukup.
1. Komponen Utama
- Hall Sensor OH090U: Komponen utama ini bekerja berdasarkan prinsip efek Hall, di mana medan magnet menghasilkan tegangan yang dapat diukur pada sensor.
- Resistor 750 Ω: Digunakan sebagai pull-up resistor untuk memastikan sinyal digital stabil pada output.
2. Pin Hall Sensor
- Pin Kiri (5V+): Pin ini disambungkan ke tegangan suplai 5V untuk memberikan daya ke sensor.
- Pin Tengah (GND): Pin ini dihubungkan ke ground (GND) dari rangkaian.
- Pin Kanan (Digital OUT): Pin ini menghasilkan sinyal digital (0 atau 1) berdasarkan ada tidaknya medan magnet yang terdeteksi oleh sensor.
3. Cara Kerja Sensor
- Ketika medan magnet berada di sekitar sensor, Hall Sensor akan mendeteksi medan tersebut dan memberikan sinyal digital output (HIGH atau LOW).
- Jika tidak ada medan magnet, sinyal output mungkin tetap HIGH (ditarik oleh resistor pull-up) atau LOW, tergantung pada jenis sensor (aktif tinggi atau rendah).
4. Fungsi Pull-up Resistor (750 Ω)
- Resistor ini memastikan bahwa sinyal digital output tidak mengambang ketika tidak ada medan magnet. Ini menstabilkan output menjadi nilai HIGH secara default.
Hall effect sensors pada water flow sensor bekerja dengan
mendeteksi perubahan medan magnet yang dihasilkan oleh magnet pada turbin saat
air mengalir melalui sensor. Berikut adalah penjelasan bagaimana nilai dihitung
menggunakan Hall effect sensor:
- Frekuensi
Pulsa: Saat turbin berputar, magnet yang menempel pada turbin
menghasilkan pulsa medan magnet. Hall effect sensor mendeteksi setiap
pulsa ini. Jumlah pulsa per detik dihitung sebagai frekuensi f.
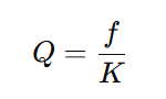
- Rumus
Debit Air (Flow Rate): Debit air (Q) biasanya dihitung berdasarkan
konstanta kalibrasi sensor (K), yang menunjukkan jumlah pulsa per liter
air. Rumusnya adalah:
di mana:
- Q =
Debit air dalam liter per detik (L/s)
- f =
Frekuensi pulsa (Hz)
- K =
Konstanta sensor (pulsa per liter), diberikan oleh produsen.
Penyegelan (Sealer): Komponen penyegel (sealer) memastikan bahwa air tidak bocor dan hanya mengalir melalui jalur yang ditentukan.
Keluaran Data (Output): Hall Effect Sensor menghasilkan pulsa listrik setiap kali magnet melewati sensor. Jumlah pulsa ini berbanding lurus dengan laju aliran air yang melewati sensor. Sinyal keluaran ini biasanya dalam bentuk digital (pulsa) yang dapat dihitung oleh mikrokontroler atau perangkat elektronik lainnya untuk menentukan kecepatan aliran air.
Keluar Air (Water Out): Setelah melalui proses pengukuran, air keluar dari sensor melalui saluran keluaran tanpa hambatan.
4.
LDR (Light
Dependent Resistor): LDR adalah
resistor yang nilai resistansinya bergantung pada intensitas cahaya yang
mengenai permukaannya. Alat ini umum digunakan dalam aplikasi yang memerlukan
pengukuran cahaya, seperti otomatisasi lampu jalan yang menyala saat gelap.
5.
Touch Sensor: Sensor ini dapat mendeteksi sentuhan atau kehadiran
objek pada permukaannya. Touch sensor sering digunakan dalam perangkat
touchscreen dan aplikasi kontrol otomatis. Mereka mengubah perubahan kapasitas
atau resistansi menjadi sinyal digital.
6. PIR Sensor
PIR (Passive Infrared) sensor adalah perangkat elektronik yang mendeteksi gerakan berdasarkan perubahan radiasi inframerah yang dipancarkan oleh benda-benda di sekitarnya, terutama manusia atau hewan.

7.
LM324: LM324 adalah sirkuit terintegrasi yang terdiri dari
empat op-amp (operational amplifier) yang dapat digunakan dalam berbagai
aplikasi penguatan sinyal. Ini sering digunakan dalam sirkuit analog, seperti
penguat, filter, dan osilator.
8.
BD139: BD139 adalah transistor NPN yang sering digunakan
dalam aplikasi penguatan dan switching. Transistor ini dapat menangani arus dan
tegangan yang cukup besar, sehingga cocok untuk digunakan dalam sirkuit daya,
amplifier audio, dan aplikasi kontrol lainnya.
3. Dasar Teori [Kembali]
- Komparator
Komparator adalah sebuah perangkat yang digunakan untuk
membandingkan dua buah sinyal input analog (Volt). Kemudian berdasarkan
perbandingan dua sinyal analog tersebut akan dikeluarkan output berupa tegangan
sesuai dengan nilai VCC.
Terlihat pada gambar diatas pada dasarnya Komparator ini
menggunakan perangkat Op Amp / Operational Amplifier yang digunakan untuk
membandingkan dua tegangan yaitu V+ dan V-.
Kemudian terdapat sebuah rumus dasar yaitu :
- Apabila
V+ > V-, output komparator adalah 1 atau senilai VCC
- Apabila
V+ < V-, output komparator adalah 0
- Transistor
Komparator adalah sebuah perangkat yang digunakan untuk
membandingkan dua buah sinyal input analog (Volt). Kemudian berdasarkan
perbandingan dua sinyal analog tersebut akan dikeluarkan output berupa tegangan
sesuai dengan nilai VCC.
Terlihat pada gambar diatas pada dasarnya Komparator ini menggunakan perangkat Op Amp / Operational Amplifier yang digunakan untuk membandingkan dua tegangan yaitu V+ dan V-.
Kemudian terdapat sebuah rumus dasar yaitu :
- Apabila
V+ > V-, output komparator adalah 1 atau senilai VCC
- Apabila
V+ < V-, output komparator adalah 0
Transistor NPN adalah salah satu jenis transistor bipolar yang terdiri dari tiga lapisan semikonduktor: dua lapisan tipe N (negatif) dan satu lapisan tipe P (positif). Berikut adalah penjelasan lebih mendetail tentang transistor NPN:
Struktur Transistor NPN
- Lapisan: Transistor NPN memiliki tiga terminal:
- Emitor (E): Lapisan N yang terhubung ke sumber arus negatif, berfungsi sebagai penyuplai elektron.
- Basis (B): Lapisan P yang sangat tipis di antara emitor dan kolektor, berfungsi sebagai kontrol arus.
- Kolektor (C): Lapisan N yang mengumpulkan arus yang keluar dari transistor.
Prinsip Kerja
Arus Basis: Untuk mengaktifkan transistor NPN, arus kecil dialirkan ke terminal basis. Ini menciptakan kondisi di mana elektron dari emitor dapat masuk ke lapisan basis.
Injeksi Elektron: Ketika arus mengalir dari emitor ke basis, beberapa elektron dari emitor disuntikkan ke lapisan basis. Karena lapisan basis sangat tipis dan memiliki sedikit lubang (defisiensi elektron), sebagian besar elektron ini bergerak menuju kolektor.
Penguatan Arus: Arus yang mengalir dari emitor ke kolektor jauh lebih besar daripada arus yang mengalir ke basis. Hal ini memungkinkan transistor NPN untuk bertindak sebagai penguat, di mana arus kecil di basis mengontrol arus yang jauh lebih besar di kolektor.
Karakteristik
Penguatan: Transistor NPN memiliki penguatan arus yang ditentukan oleh rasio antara arus kolektor (Ic) dan arus basis (Ib). Penguatan ini sering dinyatakan dalam bentuk faktor penguatan (hFE) atau β (beta).
Saturasi dan Pemutusan: Transistor NPN dapat berada dalam dua keadaan:
- Saturasi: Ketika transistor diaktifkan sepenuhnya (arus basis cukup tinggi), maka arus kolektor maksimum mengalir dan transistor berfungsi seperti saklar tertutup.
- Pemutusan: Ketika tidak ada arus basis, transistor berada dalam keadaan mati dan arus kolektor sangat kecil.
4. Rangkaian [Kembali]
5. Video [Kembali]
6. Download File [Kembali]
File Rangkaian Klik DisiniDataSheet Sensor LDR Klik DisiniDataSheet Resistor 10k Klik disiniDataSheet Dioda Klik disiniDataSheet Motor DC Klik disiniDataSheet Switch Klik DisiniDataSheet 7 segment Klik DisiniDataSheet Potensiometer Klik DisiniDataSheet Baterai Klik DisiniDataSheet OpAmp Klik Disini

















Komentar
Posting Komentar